詳情
|
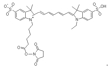
中文名稱(chēng) |
CY3 SE |
|
英文名稱(chēng) |
CY3 SE |
|
分子式 |
C35H40KN3O10S2 |
|
分子量 |
765.95 |
|
CAS |
146368-16-3 |
|
純度 |
90% |
|
Ex(nm) |
548 |
|
Em(nm) |
562 |
|
溶劑 |
|
|
貯存條件 |
-20°避光保存 |
相關(guān)













